CAS号查询化工产品 >  CAS No.9019-92-5

9019-92-5  己二酸与1,3-二异氰酸基甲苯和1,2-乙二醇的聚合物

CAS Number:9019-92-5 基本信息
中文名:87670 己二酸与1,3-二异氰酸基甲苯和1,2-乙二醇的聚合物;
己二酸与1,3-二异氰酸基甲苯和1,2-乙二醇的聚合物;
乙二醇
英文名:67846 POLY(ETHYLENE ADIPATE), TOLYLENE 2,4-DIISOCYANATE TERMINATED
别名: Ethyleneglycol,adipicacid,toluenediisocyanatepolymer;
Hexanedioicacid,1,2-ethanediol,1,3-diisocyanatomethylbenzene;
Hexanedioicacid,polymerwith1,3-diisocyanatomethylbenzeneand1,2-ethanediol;
Poly(ethyleneadipate),toluenediisocyanateprepolymer;
Toluenediisocyanate,ethyleneglycoladipatepolymer;
POLY(ETHYLENE ADIPATE), TOLYLENE 2,4-DIISOCYANATE TERMINATED;
POLY(ETHYLENE ADIPATE), TOLYLENE 2,4-DII SOCYANATE TERMINATED, 3 WT. % NCO;
Ethylene glycol, adipic acid, toluene diisocyanate polymer Hexanedioic acid, 1,2-ethanediol, 1,3-diisocyanatomethylbenzene Poly(ethylene adipate), toluene diisocyanate prepolymer Toluene diisocyanate, ethylene glycol adipate polymer
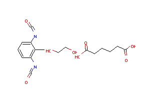
分子结构:
  • CAS:9019-92-5_己二酸与1,3-二异氰酸基甲苯和1,2-乙二醇的聚合物的分子结构
  • CAS:9019-92-5_己二酸与1,3-二异氰酸基甲苯和1,2-乙二醇的聚合物的分子结构
  • 1
  • 2
分子式: C17H19N2O8
分子量: 382.3652
9019-92-5
InChI: 1S\/C9H6N2O2.C6H10O4.C2H6O2\/c1-7-8(10-5-12)3-2-4-9(7)11-6-13;7-5(8)3-1-2-4-6(9)10;3-1-2-4\/h2-4H,1H3;1-4H2,(H,7,8)(H,9,10);3-4H,1-2H2
物理化学性质
熔点:37-48 °C
安全信息
危险品标志: XiXi:刺激性物质
相关化学品信息
2-乙基苯酚  水杨醇  2-羟基苯甲醛  邻甲氧基苯胺  愈创木酚  N-甲基-N-苯基苯磺酰胺  1-溴化萘  1-甲基萘  1-氯萘  1-碘萘  a-萘酚  alpha-(三氯甲基)苄基醇乙酸酯  鼠李素  1-氨基-8-萘酚-3,6-二磺酸  戊沙溴铵  2-苯基丁酸  1-萘氨基苯  1-(3-氯苯基)-3-甲基-2-吡唑啉-5-酮  4-甲基伞形酮  伯氨喹  邻氨基联苯  邻苯基苯酚  蒽酮  占吨醇  占吨酮  3,4,5-三甲氧基肉桂酸  2-氨基-8-萘酚-6-磺酸  3,5-二溴水杨醛  DL-扁桃酸  抗氧剂LK-1081  
CAS#9019-92-5 供应商
友情提醒:联系我时,请说是在爱化学看到的,谢谢!
VIP产品VIP产品仅需0.80元/个/年-爱化学
您的产品需要显示在这里,仅需0.80元/个/年
VIP特权:产品直达,品牌Logo,排名优先,QQ特权

点击这里给我发消息此QQ仅用于VIP合作联系!
专业从事9019-92-5及其他化工产品的生产销售
咨询电话:400-666-7788
我的库存信息
尚未登录
您还没有登录,请先 登录注册
创建试剂库教程 试剂库常见问题