CAS号查询化工产品 >  CAS No.68815-65-6

68815-65-6  四乙烯五胺与甲基环氧乙烷和环氧乙烷的聚合物

CAS Number:68815-65-6 基本信息
中文名:70546 四乙烯五胺与甲基环氧乙烷和环氧乙烷的聚合物
英文名:50722 1,2-Ethanediamine, N-(2-aminoethyl)-N'-[2-[(2-aminoethyl)amino]ethyl]-, polymer with methyloxirane a
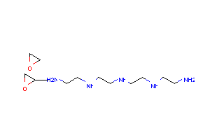
分子结构:
  • CAS:68815-65-6_四乙烯五胺与甲基环氧乙烷和环氧乙烷的聚合物的分子结构
  • CAS:68815-65-6_四乙烯五胺与甲基环氧乙烷和环氧乙烷的聚合物的分子结构
  • 1
  • 2
分子式: (C8H23N5.C3H6O.C2H4O)x
68815-65-6
InChI: 1S/C8H23N5.C3H6O.C2H4O/c9-1-3-11-5-7-13-8-6-12-4-2-10;1-3-2-4-3;1-2-3-1/h11-13H,1-10H2;3H,2H2,1H3;1-2H2
相关化学品信息
柠檬酸钠  四乙基碘化铵  巯基乙酸  N,N-二甲基甲酰胺  维生素B12  炔诺酮  磺胺嘧啶  D-环丝氨酸  羟嗪  安乃近  次黄嘌呤  N-乙酰-L-脯氨酸  羟孕酮  氟磺酰基二氟乙酸甲酯  六甲基磷酰三胺  2,2-二氟丙二酸二乙酯  2,2-二甲基戊二酸  正硅酸甲酯  四丙氧基硅烷  三羟甲基丙烷二烯丙基醚  乙蒜素  甲基膦酸二乙酯  月桂基甜菜碱  二丁基二氯化锡  异丙醇钠  二氯乙酰胺  六氟丙酮  N-甲基-N-亚硝基脲  N-甲基二(三氟乙酰胺)  2-氟丙二酸二乙酯  
CAS#68815-65-6 供应商
友情提醒:联系我时,请说是在爱化学看到的,谢谢!
VIP产品VIP产品仅需0.80元/个/年-爱化学
您的产品需要显示在这里,仅需0.80元/个/年
VIP特权:产品直达,品牌Logo,排名优先,QQ特权

点击这里给我发消息此QQ仅用于VIP合作联系!
我的库存信息
尚未登录
您还没有登录,请先 登录注册
创建试剂库教程 试剂库常见问题