CAS号查询化工产品 >  CAS No.68492-71-7

68492-71-7  己二酸与2,2-二甲基-1,3-丙二醇、2-乙基-2-(羟甲基)-1,3-丙二醇、1,6-己二醇和2,2'-氧二(乙醇)的聚合物

CAS Number:68492-71-7 基本信息
中文名:37448 己二酸与2,2-二甲基-1,3-丙二醇、2-乙基-2-(羟甲基)-1,3-丙二醇、1,6-己二醇和2,2'-氧二(乙醇)的聚合物
英文名:17625 Hexanedioic acid, polymer with 2,2-dimethyl-1,3-propanediol, 2-ethyl-2-(hydroxymethyl)-1,3-propanedi
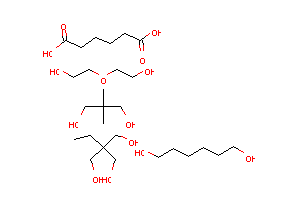
分子结构:
  • CAS:68492-71-7_己二酸与2,2-二甲基-1,3-丙二醇、2-乙基-2-(羟甲基)-1,3-丙二醇、1,6-己二醇和2,2'-氧二(乙醇)的聚合物的分子结构
  • CAS:68492-71-7_己二酸与2,2-二甲基-1,3-丙二醇、2-乙基-2-(羟甲基)-1,3-丙二醇、1,6-己二醇和2,2'-氧二(乙醇)的聚合物的分子结构
  • 1
  • 2
分子式: (C6H14O3.C6H14O2.C6H10O4.C5H12O2.C4H10O3)x
68492-71-7
物理化学性质
沸点:350℃
相关化学品信息
柠檬酸钠  四乙基碘化铵  巯基乙酸  N,N-二甲基甲酰胺  维生素B12  炔诺酮  磺胺嘧啶  D-环丝氨酸  羟嗪  安乃近  次黄嘌呤  N-乙酰-L-脯氨酸  羟孕酮  氟磺酰基二氟乙酸甲酯  六甲基磷酰三胺  2,2-二氟丙二酸二乙酯  2,2-二甲基戊二酸  正硅酸甲酯  四丙氧基硅烷  三羟甲基丙烷二烯丙基醚  乙蒜素  甲基膦酸二乙酯  月桂基甜菜碱  二丁基二氯化锡  异丙醇钠  二氯乙酰胺  六氟丙酮  N-甲基-N-亚硝基脲  N-甲基二(三氟乙酰胺)  2-氟丙二酸二乙酯  
CAS#68492-71-7 供应商
友情提醒:联系我时,请说是在爱化学看到的,谢谢!
VIP产品VIP产品仅需0.80元/个/年-爱化学
您的产品需要显示在这里,仅需0.80元/个/年
VIP特权:产品直达,品牌Logo,排名优先,QQ特权

点击这里给我发消息此QQ仅用于VIP合作联系!
我的库存信息
尚未登录
您还没有登录,请先 登录注册
创建试剂库教程 试剂库常见问题