CAS号查询化工产品 >  CAS No.63428-90-0

63428-90-0  十六酸与4-(1,1-二甲基乙基)酚、甲醛和环氧乙烷的聚合物

CAS Number:63428-90-0 基本信息
中文名:78271 十六酸与4-(1,1-二甲基乙基)酚、甲醛和环氧乙烷的聚合物
英文名:58447 Hexadecanoic acid, polymer with 4-(1,1-dimethylethyl)phenol, formaldehyde and oxirane
别名: Hexadecanoic acid,polymer with 4-(1,1-dimethylethyl)phenol,formaldehyde and oxirane
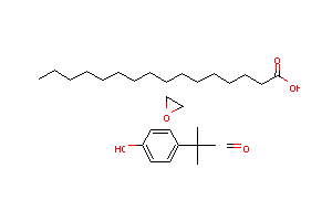
分子结构:
  • CAS:63428-90-0_十六酸与4-(1,1-二甲基乙基)酚、甲醛和环氧乙烷的聚合物的分子结构
  • CAS:63428-90-0_十六酸与4-(1,1-二甲基乙基)酚、甲醛和环氧乙烷的聚合物的分子结构
  • 1
  • 2
分子式: (C16H32O2.C10H14O.C2H4O.CH2O)x
63428-90-0
InChI: 1S/C16H32O2.C10H14O.C2H4O.CH2O/c1-2-3-4-5-6-7-8-9-10-11-12-13-14-15-16(17)18;1-10(2,3)8-4-6-9(11)7-5-8;1-2-3-1;1-2/h2-15H2,1H3,(H,17,18);4-7,11H,1-3H3;1-2H2;1H2
相关化学品信息
雄烯二酮  甲萘威  5'-胞苷酸  乳糖  磷酸伯安喹  L-蛋氨酸  磺胺  L-苯丙氨酸  盐酸酚苄明  二十八烷  特戊醛  己酸羟孕酮  四苯基甲烷  苯妥英钠  四乙基硅烷  四丙基碘化铵  硫代丙酰胺  乙酸铵  (R)-异丝氨酸  (S)-异丝氨酸  2,3-二甲基噻吩  D-苏氨酸  四甲基脲  2-磺基苯甲酸  2,6-二甲基苯甲酸  1,1,2,2-四苯乙烯  四氯邻苯二甲酸  酸性红94  四溴苯酐  汉黄芩素  
CAS#63428-90-0 供应商
友情提醒:联系我时,请说是在爱化学看到的,谢谢!
VIP产品VIP产品仅需0.80元/个/年-爱化学
您的产品需要显示在这里,仅需0.80元/个/年
VIP特权:产品直达,品牌Logo,排名优先,QQ特权

点击这里给我发消息此QQ仅用于VIP合作联系!
我的库存信息
尚未登录
您还没有登录,请先 登录注册
创建试剂库教程 试剂库常见问题