CAS号查询化工产品 >  CAS No.26702-48-7

26702-48-7  己二酸与2-乙基-2-(羟甲基)-1,3-丙二醇、1,6-己二醇和1,2-丙二醇的聚合物

CAS Number:26702-48-7 基本信息
中文名:82700 己二酸与2-乙基-2-(羟甲基)-1,3-丙二醇、1,6-己二醇和1,2-丙二醇的聚合物
英文名:62876 Hexanedioic acid, polymer with 2-ethyl-2-(hydroxymethyl)-1,3-propanediol, 1,6-hexanediol and 1,2-pro
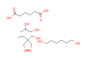
分子结构:
  • CAS:26702-48-7_己二酸与2-乙基-2-(羟甲基)-1,3-丙二醇、1,6-己二醇和1,2-丙二醇的聚合物的分子结构
  • CAS:26702-48-7_己二酸与2-乙基-2-(羟甲基)-1,3-丙二醇、1,6-己二醇和1,2-丙二醇的聚合物的分子结构
  • 1
  • 2
分子式: (C6H14O3.C6H14O2.C6H10O4.C3H8O2)x
26702-48-7
相关化学品信息
2,3-二氯丙腈  3-缩水甘油醚氧基丙基三乙氧基硅烷  N,N-二乙基癸酰胺  2-氯-4-氨基-5-硝基吡啶  2-氯-6-甲氧基苯并噻唑  甲氧甲酰基亚甲基三苯基膦  双氟可龙  3-环己烯-1-羧酸-3-环己烯-1-基甲酯  甲砜霉素甘氨酸酯盐酸盐  酸性红18  5-甲氧基水杨酸  氯硝甘油  2,4-二氯苯基异氰酸酯  3-氯-4-氟苯酚  苯丙二酸  反式-1,4-环己二胺  5,6,7,8-四氢-2-甲基喹啉  双苯磺酰亚胺  1,2-亚甲基双氧-4-硝基苯  3,4-亚甲二氧基苄胺  2-(4-溴苯基)-1-苯基-1H-苯并咪唑  氯丙烯镁  三环己基膦  1,2-二苯基-1H-苯并咪唑  乙酸-L-孟酯  4-溴丁酸  D-2-氨基丁酸  环芬尼  酚磺乙胺  阿卡地新  
CAS#26702-48-7 供应商
友情提醒:联系我时,请说是在爱化学看到的,谢谢!
VIP产品VIP产品仅需0.80元/个/年-爱化学
您的产品需要显示在这里,仅需0.80元/个/年
VIP特权:产品直达,品牌Logo,排名优先,QQ特权

点击这里给我发消息此QQ仅用于VIP合作联系!
我的库存信息
尚未登录
您还没有登录,请先 登录注册
创建试剂库教程 试剂库常见问题