CAS号查询化工产品 >  CAS No.885267-28-7

885267-28-7  

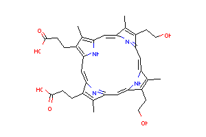
CAS Number:885267-28-7 基本信息
英文名:89791 ISOHEMATOPORPHYRIN IX
别名: 8,13-BIS(2-HYDROXYETHYL)-3,7,12,17-TETRAMETHYL-21H,23H-PORPHINE-2,18-DIPROPIONIC ACID;
ISOHEMATOPORPHYRIN IX
分子结构:
  • CAS:885267-28-7的分子结构
  • CAS:885267-28-7的分子结构
  • 1
  • 2
分子式: C34H38N4O6
分子量: 598.68872
885267-28-7
相关化学品信息
4-氯-3,5-二甲基苯酚  均三甲苯胺  2,4,6-三氯酚  2-乙基丁酸  N,N-二乙基氯甲酰胺  二乙基硫代氨基甲酰氯  N-乙烯基吡咯烷酮  3-噻吩甲酸  糠酸  2-乙酰基噻吩  邻氯三氟甲苯  邻氨基三氟甲苯  2-叔丁基苯酚  邻甲苯磺酰胺  2-氨基苯磺酸  2,4-二甲基苯胺-6-磺酸  4-氯-2-氨基苯酚-6-磺酸  3,5-二叔丁基-4-羟基苄醇  4-甲酰-1,3-苯二磺酸  4-氨基甲苯-3-磺酸  2,5-二氨基苯磺酸  4-氨基-2,5-二氯苯磺酸  3-氯对甲苯胺-6-磺酸  2-氨基-5-氯-4-甲基苯磺酸  2,5-二特丁基对苯二酚  6-叔丁基间甲酚  2,4-二甲基苯磺酸  2,4-二氨基苯磺酸  4-乙酰氨基-2-氨基苯磺酸  2-溴苯甲酸  
CAS#885267-28-7 供应商
友情提醒:联系我时,请说是在爱化学看到的,谢谢!
VIP产品VIP产品仅需0.80元/个/年-爱化学
您的产品需要显示在这里,仅需0.80元/个/年
VIP特权:产品直达,品牌Logo,排名优先,QQ特权

点击这里给我发消息此QQ仅用于VIP合作联系!
该产品另有 1 家普通供应商,请登录后查看
我的库存信息
尚未登录
您还没有登录,请先 登录注册
创建试剂库教程 试剂库常见问题