CAS号查询
化工产品
化学结构搜索
化学工具
化学网址导航
危险化学品名录
msds查询
VIP产品购买
474943-04-9
化学品查询
我的试剂库查询
msds查询
化学结构查询
搜 索
搜索设置
使用帮助
CAS号查询
>
化工产品
> CAS No.474943-04-9
474943-04-9
发布该产品
收藏该产品
下载PDF格式
编辑本词条
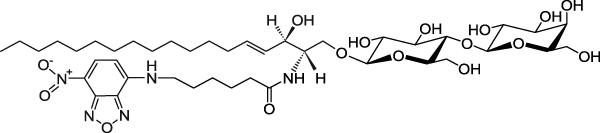
CAS Number:474943-04-9 基本信息
分子结构:
CAS登录号
:
474943-04-9
相关化学品信息
异土木香内酯
蟾酥
1,4-桉叶素
桉叶油醇
毒虫畏
丙炔酸
碳酸钙
草酰胺
甘草次酸
甜叶菊甙元
水苏碱
蟾毒它灵
白桦脂酸
虾青素
alpha-香附酮
beta-桉叶醇
白桦脂醇
鹅去氧胆酸
甘氨胆酸
萘茜
醌茜隐色体
鞣花酸
波尔定碱
脱羰秋水仙碱
去氢木香内酯
碱性红2
岩白菜素
地美索酯
大黄酸
二羟丙茶碱
640
CAS#474943-04-9 供应商
友情提醒:
联系我时,请说是在爱化学看到的,谢谢!
MCE中国 (MedChemExpress) 试剂
专业从事474943-04-9及其他化工产品的生产销售
咨询电话:400-820-3792(免费服务热线)
联系我时,请说是在爱化学看到的,谢谢!
该产品另有
1
家普通供应商,请登录后查看
我的库存信息
尚未登录
您还没有登录,请先
登录
或
注册
创建试剂库教程
试剂库常见问题