CAS号查询化工产品 >  CAS No.35176-78-4

35176-78-4  1,3-苯二羧酸与1,4-苯二羧酸二甲酯、2,2-二甲基-1,3-丙二醇和1,2-乙二醇的聚合物

CAS Number:35176-78-4 基本信息
中文名:83077 1,3-苯二羧酸与1,4-苯二羧酸二甲酯、2,2-二甲基-1,3-丙二醇和1,2-乙二醇的聚合物;
对苯二酸二甲酯、间苯二酸
英文名:63254 1,3-Benzenedicarboxylic acid, polymer with dimethyl 1,4-benzenedicarboxylate, 2,2-dimethyl-1,3-propa
别名: Isophthalic acid, neopentyl glycol, ethylene glycol, dimethyl terephthalate polyester resin
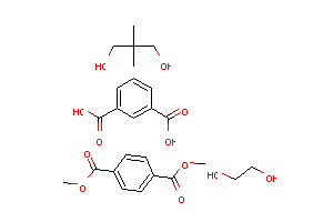
分子结构:
  • CAS:35176-78-4_1,3-苯二羧酸与1,4-苯二羧酸二甲酯、2,2-二甲基-1,3-丙二醇和1,2-乙二醇的聚合物的分子结构
  • CAS:35176-78-4_1,3-苯二羧酸与1,4-苯二羧酸二甲酯、2,2-二甲基-1,3-丙二醇和1,2-乙二醇的聚合物的分子结构
  • 1
  • 2
分子式: (C10H10O4.C8H6O4.C5H12O2.C2H6O2)x
35176-78-4
相关化学品信息
3-乙酰基吡啶  3-氟-4-甲基苯甲酸  3-氟-4-羟基苯甲酸  3-氯-4-氟硝基苯  4-氯-3-氟硝基苯  1-氟-4-(异丙烯基)苯  对氟硝基苯  3-氟苯乙烯  3-氟乙酰苯胺  间三氟甲基苯乙酸  D-组氨酸  3-氟-4-甲氧基苄氯  3-氟-4-甲氧基苯甲醛  4-氟乙酰苯胺  对氟氯苄  3-羟基-4-氨基丁酸  4,4-二氟乙酰乙酸乙酯  4-氟甲苯  1-氯-4-氟苯  对氟碘苯  4-三氟甲氧基氟苯  3-氟甲苯  甲基丙烯酸三氟乙酯  二乙基硫醚  胍乙酸  3-胍基丙酸  三氟化硼-二甲醚络合物  2-碘-1,1,1-三氟乙烷  三氟乙腈  五氟乙烷  
CAS#35176-78-4 供应商
友情提醒:联系我时,请说是在爱化学看到的,谢谢!
VIP产品VIP产品仅需0.80元/个/年-爱化学
您的产品需要显示在这里,仅需0.80元/个/年
VIP特权:产品直达,品牌Logo,排名优先,QQ特权

点击这里给我发消息此QQ仅用于VIP合作联系!
我的库存信息
尚未登录
您还没有登录,请先 登录注册
创建试剂库教程 试剂库常见问题