CAS号查询化工产品 >  CAS No.127685-38-5

127685-38-5  

CAS Number:127685-38-5 基本信息
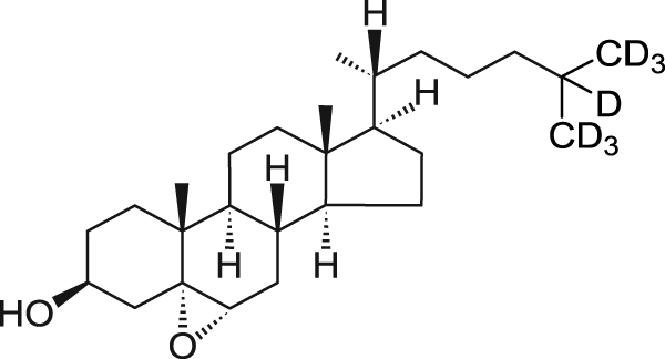
英文名:40641 cholestanol, 5α,6α-epoxy-d7
分子结构:
CAS:127685-38-5的分子结构
127685-38-5
相关化学品信息
固蓝BB  N,N-二羟乙基苯胺  1-苄氧基-2-甲氧基-4-丙烯基苯    4-乙氧基-3-甲氧基苯乙酸  藜芦醛  2-萘磺酸  癸酸环戊基甲基酯  3,4-二甲氧基苯乙胺  N,N-二乙基-4-氨基苯甲醛  2-萘氧乙酸  4-乙氧基-3-甲氧基苯甲醛  托品醇  4-氯-2-苄基苯酚  3-甲基苯甲酸乙酯  3-氨基-4-甲氧基苯甲酰苯胺  2,4-滴丙酸  3-(乙基氨基)-4-甲酚  N-哌嗪甲酸乙酯  alpha-甲基苯甲醇丙酸酯  二苯甲酰基甲烷  尼泊金乙酯  苯甲酸苄酯  四硫化双五亚甲基秋兰姆  二甘醇二苯甲酸酯  胡椒醛  2-甲氧基-5-甲基苯胺  吲哚  嘌呤  5-降冰片烯-2-羧酸  
CAS#127685-38-5 供应商
友情提醒:联系我时,请说是在爱化学看到的,谢谢!
专业从事127685-38-5及其他化工产品的生产销售
咨询电话:400-820-3792(免费服务热线)
点击这里给我发消息联系我时,请说是在爱化学看到的,谢谢!
该产品另有 1 家普通供应商,请登录后查看
我的库存信息
尚未登录
您还没有登录,请先 登录注册
创建试剂库教程 试剂库常见问题