CAS号查询化工产品 >  CAS No.53808-40-5

53808-40-5  1,4-苯二羧酸与2,2-二甲基-1,3-丙二醇和2-乙基-2-(羟甲基)-1,3-丙二醇的聚合物

CAS Number:53808-40-5 基本信息
中文名:82983 1,4-苯二羧酸与2,2-二甲基-1,3-丙二醇和2-乙基-2-(羟甲基)-1,3-丙二醇的聚合物
英文名:63159 1,4-Benzenedicarboxylic acid, polymer with 2,2-dimethyl-1,3-propanediol and 2-ethyl-2-(hydroxymethyl
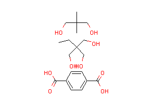
分子结构:
  • CAS:53808-40-5_1,4-苯二羧酸与2,2-二甲基-1,3-丙二醇和2-乙基-2-(羟甲基)-1,3-丙二醇的聚合物的分子结构
  • CAS:53808-40-5_1,4-苯二羧酸与2,2-二甲基-1,3-丙二醇和2-乙基-2-(羟甲基)-1,3-丙二醇的聚合物的分子结构
  • 1
  • 2
分子式: (C8H6O4.C6H14O3.C5H12O2)x
53808-40-5
相关化学品信息
泼尼松  雌酚酮  米托坦  帕拉米松  氟泼尼龙  甲基泼尼松龙醋酸酯  氧甲氢龙  雄酮  3a-羟基-5b-雄甾烷-17-酮  去氢表雄酮  烟酰胺腺嘌呤双核苷酸磷酸盐  盐酸丙嗪  烟酰胺腺嘌呤双核苷酸  吲哚美辛  氯霉素棕榈酸酯  对二甲氨基二苯甲酮  4-氟-4'-甲基二苯甲酮  1,1-二苯肼盐酸盐  1,1-二苯乙烯  丁香酸  芥子酸  N,N'-羰基二咪唑  氟灭酸  萘酚AS-BI磷酸二钠  beta-四氢萘酮  1,3,5-三苯甲臢  天青B  7-甲氧基香豆素  秦皮甲素  香豆素-3-羧酸  
CAS#53808-40-5 供应商
友情提醒:联系我时,请说是在爱化学看到的,谢谢!
VIP产品VIP产品仅需0.80元/个/年-爱化学
您的产品需要显示在这里,仅需0.80元/个/年
VIP特权:产品直达,品牌Logo,排名优先,QQ特权

点击这里给我发消息此QQ仅用于VIP合作联系!
我的库存信息
尚未登录
您还没有登录,请先 登录注册
创建试剂库教程 试剂库常见问题