CAS号查询化工产品 >  CAS No.497156-01-1

497156-01-1  

CAS Number:497156-01-1 基本信息
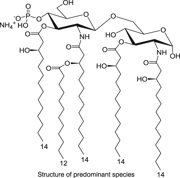
英文名:80978 Lipid A Detoxified (Salmonella Minnesota R595)
分子结构:
CAS:497156-01-1的分子结构
497156-01-1
相关化学品信息
3,4-吡啶二羧酸  表儿茶素  2,4,5-三甲氧基苯甲酸  2,5-二羟基苯乙酮  2,5-二羟基苯甲酸  1-羟基异喹啉  1-甲基-1,2,3,4-四氢喹啉  4-甲基喹啉  4-羟基喹唑啉  2,3-二氢苯并吡喃-4-酮  大黄素蒽酮  黄芩素  木犀草素  5,7-二羟基-4'-甲氧基异黄酮  9-噻吨酮  2-C-甲基-D-核糖酸-1,4-内酯  2-苯基丙酸  2-苯基丙烯酸  去甲麻黄碱  二(2-吡啶基)乙二酮  对氯扁桃酸  糠偶酰  异色满  1,4-苯并二恶烷  甲基红  亚氨基二苄  3,4-二甲氧基甲苯  苯甲羟肟酸  紫花前胡苷  苯丁酮  
CAS#497156-01-1 供应商
友情提醒:联系我时,请说是在爱化学看到的,谢谢!
VIP产品VIP产品仅需0.80元/个/年-爱化学
您的产品需要显示在这里,仅需0.80元/个/年
VIP特权:产品直达,品牌Logo,排名优先,QQ特权

点击这里给我发消息此QQ仅用于VIP合作联系!
该产品另有 1 家普通供应商,请登录后查看
我的库存信息
尚未登录
您还没有登录,请先 登录注册
创建试剂库教程 试剂库常见问题