CAS号查询化工产品 >  CAS No.384835-55-6

384835-55-6  

CAS Number:384835-55-6 基本信息
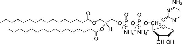
英文名:39746 1,2-dipalmitoyl-sn-glycero-3-(cytidine diphosphate) (ammonium salt)
分子结构:
CAS:384835-55-6的分子结构
384835-55-6
相关化学品信息
二氟乙酸  2-(三氟甲基)丙烯酸  1,1,3,3,3-五氟-2-三氟甲基丙基甲基醚  肾上腺甾酮  去羟米松  2-(全氟乙基)苯并咪唑  4,4'-二氟二苯砜  对甲苯磺酸氟乙酯  2-溴-4'-(三氟甲基)苯乙酮  二氟氯乙酸乙酯  三氟乙酸乙酯  N-烯丙基-2,2,2-三氟乙酰胺  L-三氟乙酰甘氨酸  2-硝基三氟甲苯  2,6-二氟苯甲酸  3-氟-2-硝基苯酚  4-氟吲哚  7-氟吲哚  2-氯-6-氟-苯甲醛  2,6-二羟基苯甲醛  萘啶酸  2-氨基-4'-氟二苯甲酮  氟米龙醋酸酯  乙酸钪  抗氧剂618  5-硝基-1,2,3-苯三甲酸  硫酸链霉素  氯酸钾  氯丙那林  吡硫鎓钠  
CAS#384835-55-6 供应商
友情提醒:联系我时,请说是在爱化学看到的,谢谢!
VIP产品VIP产品仅需0.80元/个/年-爱化学
您的产品需要显示在这里,仅需0.80元/个/年
VIP特权:产品直达,品牌Logo,排名优先,QQ特权

点击这里给我发消息此QQ仅用于VIP合作联系!
该产品另有 1 家普通供应商,请登录后查看
我的库存信息
尚未登录
您还没有登录,请先 登录注册
创建试剂库教程 试剂库常见问题